मानस मण्डल सेवा संस्थान सागवाड़ा का रजिस्ट्रेशन
━━━━━━✧Ⓖजय सियारामⒹ✧━━━━━━
क्लिक👉 मानस नींव 👈क्लिक
मानस मण्ड़ल सागवाड़ा का स्थापना दिवस (सितम्बर) 02-09-2008 मंगलवार "हड़तालिका तीज"
मण्डल की प्रथम कार्यकारिण
' जय श्री राम '
आज दिनांक 02.09.2008 मंगलवार हरतालीका तीज के शुभ प्रसंग पर एक आवश्यक बैठक रखी गई। जिसमे "सुन्दरकाण्ड' के आयोजन पर चर्चा की गई।
बैठक मे निम्न प्रस्ताव लिये गए ।
(1) नामकरण
इस समिति का नामकरण सामूहित रूप से
"मानस मण्डल" सागवाडा रखा गया 'मानस' शब्द श्रीराम चरित मानस से लिया गया है जिसमे रघुकुलनंदन श्रीराम एवं उनके भक्त श्री हनुमान जी का वृतांत दर्शाया गया है
(2) कार्यकारिणी
मानस मण्डल के पराधिकारी निम्नानुसार रखी गई!
(3) संरक्षक
(1) श्री विमल जी पालीवाल
(2) श्री भगवान जी सेवक
(3) श्री निर्भय जी सोमपुरा
(4) श्री गोविन्द /पूनमचंदजी दर्जी
क्लिक 👆
उक्त चारो संरक्षको का दायित्व होगा कि मण्डल
अपना कार्य सुचारु रूप से सुव्यवस्थित तरीके से करे एवं उस पर सभी प्रकार का नियंत्रण उनका रहेगा
अध्यक्ष- श्री किशोर जी भावसार
क्लिक👆
उपाध्यक्ष- श्री गिरधारी जी शर्मा
सचिव- श्री दिनेश जी शर्मा
कोषाध्यक्ष- " मुकेश जी भोई
संगन मंत्री- " मोहन जी पंचाल
👆
इस फोटो में लिखे हुए को गुगल लैंस द्वारा कॉपी किया गया है
👇
![]() |
| मानस मण्डल सागवाड़ा प्रथम कार्यकारिणी |
![]() |
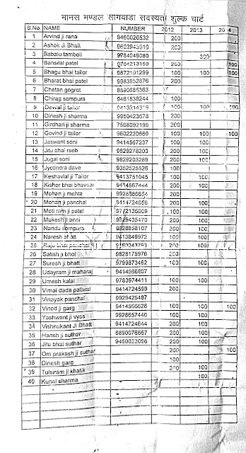
मानस मण्डल के सदस्यों द्वारा प्रथम सहयोग राशि प्राप्ति |
━━━━━━✧Ⓖजय सियारामⒹ✧━━━━━━
━━━━━━✧Ⓖजय सियारामⒹ✧━━━━━━
━━━━━━✧Ⓖजय सियारामⒹ✧━━━━━━
━━━━━━✧Ⓖजय सियारामⒹ✧━━━━━━
━━━━━━✧Ⓖजय सियारामⒹ✧━━━━━━
━━━━━━✧Ⓖजय सियारामⒹ✧━━━━━━
━━━━━━✧Ⓖजय सियारामⒹ✧━━━━━━





.jpg)
.jpg)
.jpg)
.jpg)
.jpg)
.jpg)
.jpg)

कोई टिप्पणी नहीं:
एक टिप्पणी भेजें